Skip to content Skip to sidebar Skip to footer

Effortlessly Calculate Crop Water Needs with the Penman Monteith Calculator

Penman Monteith Calculator

Penman Monteith Calculator is a tool that helps calculate evapotranspiration rates using climate data, providing valuable information for agricultural and environmental applications.

The Penman Monteith Calculator: Calculating Evapotranspiration Made Easy

Do you want to maximize your crop yields or ensure that your garden stays healthy throughout the year? Then calculating evapotranspiration should be on your list of priorities. But don't worry, the Penman Monteith Calculator can make this daunting task a breeze.

So what is evapotranspiration? It's the process by which water is transferred from the land to the atmosphere through evaporation from soil and plants. Knowing the amount of evapotranspiration in an area is crucial for farmers, gardeners, and landscapers as it helps in determining the amount of water needed to maintain plant growth and health.

But how do you calculate evapotranspiration? This is where the Penman Monteith Calculator comes in handy. It is an equation developed by Penman and Monteith that calculates evapotranspiration based on climatic data such as temperature, humidity, wind speed, and radiation.

The calculator takes into account all the factors that affect evapotranspiration and provides accurate results. It is a reliable tool used by professionals in agriculture, forestry, and horticulture industries.

So, how can you use the Penman Monteith Calculator? It's simple, all you need is to input the required climatic data and the calculator does the rest. The output will provide you with the amount of water needed to irrigate your crops or garden.

The Penman Monteith Calculator is not only easy to use but it also saves time. It eliminates guesswork and reduces errors in determining crop water requirements. With this tool, you can save money on unnecessary water usage and reduce the risk of over-irrigation or under-irrigation.

But that's not all. Did you know that evapotranspiration is also used in predicting weather patterns? By knowing the rate of water evaporation, meteorologists can determine the likelihood of precipitation and estimate the amount of rainfall in an area.

So, using the Penman Monteith Calculator not only benefits farmers, gardeners, and landscapers but it also provides valuable data for weather forecasting.

Another great feature of the Penman Monteith Calculator is its versatility. It can be used to calculate evapotranspiration for different types of plants and soils, making it a useful tool for a variety of applications.

Furthermore, the calculator can be used to compare the water needs of different crops or plants. It allows you to make informed decisions on which crops or plants are suitable for your climate and soil type.

So, whether you're a farmer looking to maximize crop yields, a gardener aiming to keep your plants healthy, or a meteorologist predicting weather patterns, the Penman Monteith Calculator has got you covered.

In conclusion, calculating evapotranspiration no longer needs to be a daunting task. With the Penman Monteith Calculator, you can easily determine the amount of water needed to keep your plants healthy while reducing water usage and increasing efficiency. It's time to take your gardening or farming to the next level with this reliable and easy-to-use tool.

The Penman Monteith Calculator: An Essential Tool for Agriculture

Do you want to determine the amount of water needed for your crop and know the best time to irrigate it? The Penman Monteith Calculator is an agricultural tool that calculates evapotranspiration (ET) rates. It is a standard method used worldwide to estimate the potential or reference ET under various weather conditions and land cover types.

What is ET?

ET is the sum of two processes: transpiration, which is the water that plants absorb through their roots and release through tiny pores or stomata on their leaves, and evaporation, which is the water that evaporates from soil or other surfaces without passing through plants. ET is one of the most important components of the hydrologic cycle since it influences soil moisture, plant growth, and water availability.

How does the Penman Monteith Calculator work?

The Penman Monteith Calculator uses several parameters to compute reference ET rates:

  1. Net radiation, which is the difference between incoming and outgoing radiation.
  2. Temperature, which affects the energy needed to evaporate water.
  3. Relative humidity, which reflects the moisture content of the air.
  4. Wind speed, which affects the transport of moisture away from the surface.

The calculator also requires inputs such as latitude, altitude, and solar radiation data. It outputs ET rates in millimeters per day or inches per day, which can be used to schedule irrigation, design drainage systems, and assess water balances.

Why is the Penman Monteith Calculator important?

The Penman Monteith Calculator has several benefits for agriculture:

  • It considers the crop type and canopy characteristics, which influence the transpiration process.
  • It accounts for weather variables that affect evapotranspiration such as air temperature, humidity, and wind speed.
  • It provides accurate estimations of reference ET rates under different climatic regimes, making it suitable for multiple regions and crops.

The Penman Monteith Calculator can be used for precision agriculture, where farmers apply water only when needed to avoid over-irrigation, waterlogging, and salinization. Over-irrigation leads to water wastage and increases production costs, while waterlogging decreases soil aeration and nutrient availability. Salinization occurs when excess irrigation water accumulates salts in the soil, affecting plant growth and yield.

Limitations of the Penman Monteith Calculator

The Penman Monteith Calculator has some limitations that users should be aware of:

  • It is a theoretical model that assumes ideal conditions such as homogeneous soils and well-watered crops.
  • It requires data inputs that may not be available or reliable in certain locations.
  • It does not account for some factors that affect evapotranspiration such as plant stress, pest damage, and soil compaction.
  • Some crops may deviate from the reference ET rate due to their specific water requirements and stages of growth.

Conclusion

The Penman Monteith Calculator is a valuable tool for agriculture that helps farmers optimize water use and reduce environmental impacts. However, its outputs should be complemented with local knowledge and field observations to account for site-specific factors that affect crop water demand and growth. By using the Penman Monteith Calculator wisely, farmers can boost their yields, save water resources, and sustainably manage their farm operations.

Penman-Monteith Calculator: Accuracy vs. Simplicity

Introduction

Calculating the evapotranspiration (ET) rate is crucial for farmers, landscape managers, and hydrologists who must make informed decisions about irrigation, planting, and crop yields. Among the several ET equations developed over the years, Penman-Monteith has gained universal recognition as the most reliable, based on theoretical and empirical grounds. However, applying Penman-Monteith requires extensive knowledge of meteorology, physics, and plant physiology, which renders it inaccessible to many users. This comparison article aims to evaluate two versions of the Penman-Monteith calculator, one complex and one simple, to identify the strengths and weaknesses of each and determine their relative suitability for different applications.

Penman-Monteith Equation: Theory and Context

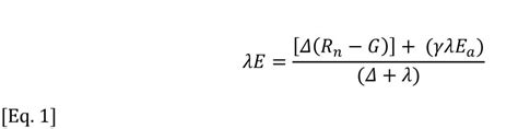
The Penman-Monteith equation is based on the principles of mass and energy balance, which describe the transfer of water vapor between the land surface and the atmosphere. The formula combines several variables, including net radiation, soil heat flux, air temperature, wind speed, vapor pressure deficit, and aerodynamic resistance, to estimate the loss of water through plant transpiration and soil evaporation. The original Penman equation was developed in 1948, while the Monteith version was published in 1965 and refined in 1981 by the Food and Agriculture Organization (FAO). Since then, Penman-Monteith has been widely adopted as the standard method to calculate ET worldwide.

Penman-Monteith Calculator: Complex Version

The complex version of the Penman-Monteith calculator requires input data on multiple meteorological and soil parameters, such as solar radiation, albedo, specific heat capacity, hydraulic conductivity, and root depth, among others. These variables are often measured or estimated with a certain degree of uncertainty, which can affect the accuracy of the ET estimation. To compensate for this uncertainty, the calculator provides options to adjust some parameters according to local conditions or user preferences. However, applying these adjustments requires deep knowledge of hydrology and climatology, which is not widespread.

Penman-Monteith Calculator: Simple Version

The simple version of the Penman-Monteith calculator involves fewer input parameters and assumptions than the complex one, making it more user-friendly and accessible to non-experts. This version estimates ET based on air temperature, relative humidity, wind speed, and a crop coefficient that varies according to the plant species and growth stage. The simpler model performs well under moderate conditions but may overestimate or underestimate ET under extreme weather or soil conditions.

Comparison Table: Features and Criteria

Criteria Complex Version Simple Version
Accuracy High Moderate
Input Parameters Multiple, complex, site-specific Fewer, simpler, generalised
Usability Low, requires expertise in hydrology and climatology High, accessible to non-experts
Flexibility High, allows adjustments for local conditions Low, based on standard crop coefficients
Cost Low, free software available online Low, free software available online

Comparative Analysis: Pros and Cons

The complex version of the Penman-Monteith calculator is undoubtedly more accurate than the simple one, as it accounts for many site-specific factors that influence ET. However, this high accuracy comes at a cost, namely the need for extensive expertise in hydrology and climatology. Moreover, the complexity of the model may lead to uncertainty and error if some input parameters are not measured or estimated correctly or if the user lacks the technical understanding to apply the correct adjustments. Overall, the complex model is more suitable for research studies, professional applications, and high-stake decisions where accuracy is crucial.Conversely, the simple version of the Penman-Monteith calculator offers a more straightforward and accessible approach to estimating ET, particularly for non-experts who lack technical knowledge but still need to make informed decisions about water management. The basic requirements of air temperature, relative humidity, wind speed, and crop coefficient make it easy to collect data and apply the model, which results in moderate accuracy under normal climatic and soil conditions. However, the lack of adaptability to different plant species, soil types, and geographical regions limits the applicability of the simple model for detailed or advanced analyses. In summary, the simple model is more useful for routine monitoring, educational purposes, and quick estimates.

Conclusion and Recommendations

In conclusion, both versions of the Penman-Monteith calculator have their advantages and drawbacks, depending on the user's needs, background, and purpose. The complex model offers high accuracy and flexibility but requires significant expertise and data availability. The simple model offers ease of use and basic accuracy but lacks the ability to adjust to local conditions or specific crops. Therefore, it is crucial to select the appropriate model based on the available information, the expected accuracy, and the desired level of detail. For instance, if an irrigation system needs to be designed for a particular crop in a specific location, the complex model may be more suitable. However, if a quick estimate of water demand is needed for generic crops, the simple model may suffice. Ultimately, the key to successful ET calculation lies not in the calculator itself but in the quality and consistency of the input data and the critical interpretation of the results.

How to Use the Penman Monteith Calculator: A Comprehensive Guide

Introduction

The Penman Monteith equation is widely used to estimate evapotranspiration, which is the sum of water lost through evaporation from soil and transpiration from plants. The equation accounts for various factors that affect evapotranspiration, such as solar radiation, temperature, humidity, and wind speed. The Penman Monteith calculator is a tool that simplifies the calculation process by providing inputs and outputs based on the equation. In this tutorial, we will walk you through the steps of using the Penman Monteith calculator.

Step 1: Navigate to the Calculator

The Penman Monteith calculator can be found online, either by searching for it on a search engine or by accessing it directly from a website that provides it. Once you have found the calculator, click on the link to access it.

Step 2: Input Data

Before you begin inputting data into the calculator, make sure you have the necessary information on hand. You will need to know the latitude and elevation of the location where you want to estimate evapotranspiration. You will also need data on temperature (in Celsius), humidity (in percent), wind speed (in meters per second), solar radiation (in MJ/meters squared), and the vapor pressure deficit (in kilopascals).

Mean Daily Temperature

Enter the mean daily temperature in Celsius. This is the average temperature over a 24-hour period.

Mean Daily Relative Humidity

Enter the mean daily relative humidity as a percentage. This is the average amount of moisture in the air relative to the maximum amount it can hold.

Wind Speed

Input the wind speed in meters per second. This is the average speed of wind over a 24-hour period.

Solar Radiation

Enter the solar radiation in MJ/meters squared. This is the amount of solar energy that reaches the surface of the earth.

Vapor Pressure Deficit

Input the vapor pressure deficit in kilopascals. This is the difference between the actual vapor pressure and the saturation vapor pressure.

Step 3: Calculate Evapotranspiration

After you have entered all the necessary data, click on the calculate button to estimate evapotranspiration. The result will be displayed in millimeters per day or inches per day, depending on your preference.

Step 4: Interpretation

Once you have calculated evapotranspiration, it is important to understand what the result means. Evapotranspiration rates vary depending on the type of vegetation, soil characteristics, and climate conditions. Therefore, it is essential to compare the estimated evapotranspiration rate with other data, such as precipitation, to determine whether water availability is adequate for plant growth.

Tips for Using the Penman Monteith Calculator

- Make sure you have accurate data for temperature, humidity, wind speed, solar radiation, and vapor pressure deficit. Inaccurate data can lead to incorrect estimates.- Use the calculator in conjunction with other tools, such as soil moisture probes and plant water use meters, to get a more comprehensive understanding of water availability.- For best results, use the Penman Monteith equation in areas where vegetation cover is significant.- Keep in mind that the Penman Monteith equation is only an estimate, and actual evapotranspiration rates may vary.

Conclusion

The Penman Monteith calculator is a valuable tool for estimating evapotranspiration rates and determining water availability for plant growth. By following the steps outlined in this tutorial and using the tips provided, you can confidently use the Penman Monteith calculator to make informed decisions about irrigation and water management.

The Penman Monteith Calculator: Helping Farmers Maximize Crop Yield

Welcome, readers! In this article, we will talk about an essential tool for farmers in calculating crop water requirements and improving their yield – the Penman Monteith calculator. As you may know, water is one of the most critical inputs in agriculture. Water can make or break your crops, and without the right amount of water at the right time, plants can suffer from wilt, stress, and reduced yields. This is why farmers need tools like the Penman Monteith calculator to ensure that they are irrigating their crops efficiently and effectively.

The Penman Monteith method is a widely used equation for estimating the potential evapotranspiration of crops under different climatic conditions. It considers atmospheric, soil, and plant factors to estimate how much water is lost through evaporation and transpiration, as well as how much water is needed depending on the crop's growth stage. The calculator is a powerful tool that takes into account data such as temperature, humidity, solar radiation, wind speed, and canopy resistance to provide accurate ETc estimates.

Using the Penman Monteith calculator helps farmers plan irrigation scheduling and avoid over or under-irrigation. Over-irrigation can lead to waterlogging, soil degradation, nutrient leaching, and increased energy costs, while under-irrigation can cause reduced crop growth, yield, and quality. With the help of the calculator, farmers can avoid these pitfalls and ensure that they are providing the right amount of water for their crops.

One of the benefits of the Penman Monteith method is that it accounts for the crop's specific water needs during different growth stages. For example, a crop in its vegetative stage requires more water than the same crop nearing maturity. By knowing the crop's water needs at various stages, farmers can adjust their irrigation schedules to ensure that they provide the optimal amount of water for each stage. This can help farmers use water more efficiently and reduce their costs.

The calculator also helps farmers save time and energy while managing their crops. Without the tool, farmers would need to rely on rough estimations or guesswork to determine their irrigation schedules, leading to inaccuracy and possibly lower crop yields. With the calculator, farmers have the certainty that they are providing their crops with the optimal amount of water at the right time.

There are several Penman Monteith calculators available free of charge online, making it easy for farmers to use. To use the calculator, farmers need to input data such as temperature, humidity, solar radiation, and wind speed. Once entered, the calculator provides an estimate of daily crop water requirements. Farmers can then use this information to plan their irrigation schedules and ensure that their crops receive enough water to thrive.

In conclusion, the Penman Monteith calculator is an essential tool that helps farmers save resources and increase their yield. By providing accurate estimates of crop water requirements, the calculator allows farmers to irrigate their crops efficiently and avoid potential problems like over or under-irrigation. We urge farmers to make use of this tool to maximize their farm's yield and save water resources. We hope this article was informative and helpful, and we wish you all the success in your farming endeavors!

Thank you for reading!

People Also Ask About Penman Monteith Calculator: Answers and Information

What is a Penman Monteith Calculator?

A Penman Monteith Calculator is a tool used by agriculture professionals and researchers to calculate evapotranspiration rates of crops. This calculation is important for farmers because it helps them determine the water needs of their crops, in order to provide appropriate irrigation.

How does a Penman Monteith Calculator work?

The calculator uses a set of variables, including temperature, humidity, wind speed, solar radiation, and leaf area index, to calculate the amount of water that plants are likely to lose through evapotranspiration. The calculation takes into account both the vapor pressure deficit – the difference between the saturated vapor pressure and the actual vapor pressure in the air – as well as the resistance to water movement through the plant's stomata.

What are the benefits of using a Penman Monteith Calculator?

  • It allows farmers to make more informed decisions about when and how much to irrigate their crops, which can help reduce water waste and costs.
  • It allows researchers to study and compare the water use efficiency of different crop varieties and management systems.
  • It provides a standardized method for estimating crop water requirements, which can be useful for regional planning and policy development.

How accurate is a Penman Monteith Calculator?

The accuracy of the calculation depends on the quality and accuracy of the input variables, as well as the assumptions made by the model. It is also important to note that the Penman Monteith equation is just one of many methods used to estimate evapotranspiration, and different methods may be more appropriate for certain types of crops or climates.

Are there any limitations to using a Penman Monteith Calculator?

  • The calculation assumes that all inputs are spatially and temporally homogeneous, which may not always be the case in the real world.
  • The model does not take into account soil moisture availability or water stress factors, which can significantly affect plant water use.
  • The calculation requires a significant amount of meteorological data, which may not always be available in certain locations.

Overall, the Penman Monteith Calculator is a useful tool for estimating crop water requirements, but it should be used in conjunction with other methods and field observations to ensure accurate irrigation management.

People Also Ask about Penman Monteith Calculator

1. What is the Penman Monteith Calculator?

The Penman Monteith Calculator is a tool used to estimate evapotranspiration, which is the sum of water lost through evaporation from the soil and transpiration from plants into the atmosphere. It is based on the Penman-Monteith equation, a widely accepted method for calculating reference evapotranspiration.

2. How does the Penman Monteith Calculator work?

The Penman-Monteith equation takes into account various climatic factors such as temperature, humidity, wind speed, and solar radiation to estimate the rate at which water evaporates from the surface and is transpired by plants. By inputting these parameters into the calculator, it can provide an accurate estimation of evapotranspiration for a specific location.

3. Why is the Penman Monteith Calculator important?

The Penman Monteith Calculator is important in various fields such as agriculture, hydrology, and environmental studies. It plays a crucial role in irrigation scheduling, water resource management, and assessing crop water requirements. By accurately estimating evapotranspiration, it helps optimize water usage and improve water efficiency.

4. How accurate is the Penman Monteith Calculator?

The Penman Monteith Calculator is considered one of the most accurate methods for estimating evapotranspiration. However, its accuracy relies on the availability of accurate input data such as weather variables. Therefore, using reliable and up-to-date meteorological data is essential to obtain precise results.

5. Are there any limitations to the Penman Monteith Calculator?

While the Penman Monteith Calculator is widely used and highly regarded, it does have some limitations. It requires detailed weather data, including temperature, humidity, wind speed, and solar radiation, which may not always be readily available for certain locations. Additionally, it assumes that the surface is well-watered and that there are no limitations on water availability.

6. Can the Penman Monteith Calculator be used globally?

Yes, the Penman Monteith Calculator can be used globally as long as accurate meteorological data is available. It has been widely adopted by various countries and organizations for estimating evapotranspiration in different climates and regions.

7. Are there any alternative methods to the Penman Monteith Calculator?

Yes, there are alternative methods for estimating evapotranspiration, such as the Hargreaves-Samani method, the FAO 56 method, and the Priestley-Taylor method. These methods may have different input requirements and assumptions but aim to provide similar estimations of evapotranspiration.

In conclusion,

The Penman Monteith Calculator is a valuable tool for estimating evapotranspiration. It considers various climatic factors to provide accurate results that are important for efficient water management in agriculture, hydrology, and environmental studies. While it has limitations and alternative methods exist, the Penman Monteith Calculator remains widely used and trusted in the field.